WebRTC GCC代码深度解读01
原文出处:WebRTC GCC代码深度解读(1)BitrateEstimator
1. 原理解读
BitrateEstimator是GCC里面的一个基础类,用于估计TCC ACK的码率。这里采用了贝叶斯估计,大概的估计方法如下:
- 单个ACK误差太大,需要等到设置的窗口大小才会计算码率,窗口如果太小则计算偏差很大,窗口过大则码率更新太慢,这里初始化为500ms,后续150ms。每个窗口计算得到一个码率,采用多个窗口估计结果。
- 单个窗口计算的码率有一定不确定性,给与每个结果赋予一定权重,如样本可能比较少或者处于ALR状态,此时给与这个结果更低的权重,避免被拥塞无关的因素影响
- 最终的结果是基于各个窗口结果的贝叶斯估计
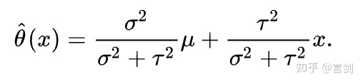
这里使用贝叶斯估计来得到一个相对可靠的结果,这里的先验是之前估计的结果,后验是当前窗口计算的结果,因为先验和后延有相同的分布(都比较符合高斯分布),因此可以转化为一个共轭先验问题:
Bayes estimators for conjugate priors
因此可以估计先验和后延各自的方差,便可以得到最终的贝叶斯估计!后面我们将结合代码理解这个公式。
2. 代码解读
其头文件定义如下:
class BitrateEstimator {
public:
explicit BitrateEstimator(const WebRtcKeyValueConfig* key_value_config);
virtual ~BitrateEstimator();
// 输入收到ACK的时间以及ACK的字节数
virtual void Update(Timestamp at_time, DataSize amount, bool in_alr);
// 获取估计的稳定的码率
virtual absl::optional<DataRate> bitrate() const;
// 获取当前窗口计算的码率
absl::optional<DataRate> PeekRate() const;
// 在某些场景需要码率快速收敛
virtual void ExpectFastRateChange();
private:
// 计算一个窗口内的码率
float UpdateWindow(int64_t now_ms,
int bytes,
int rate_window_ms,
bool* is_small_sample);
// 当前窗口内总字节数
int sum_;
// 在初始化阶段使用的窗口大小,初始化阶段应该使用较大的窗口,因为是第一个数据!
FieldTrialConstrained<int> initial_window_ms_;
// 在非初始化阶段使用的窗口大小
FieldTrialConstrained<int> noninitial_window_ms_;
// 当前窗口计算的数据不可靠程度,默认是10,可以理解成样本标准差
FieldTrialParameter<double> uncertainty_scale_;
// 当前窗口计算的数据不可靠程度(用于ALR)
FieldTrialParameter<double> uncertainty_scale_in_alr_;
// 当前窗口计算的数据不可靠程度(用于小样本)
FieldTrialParameter<double> small_sample_uncertainty_scale_;
// 一个窗口内数据量被认为是小样本的阈值,样本太少,会被认为当前估计不可靠
FieldTrialParameter<DataSize> small_sample_threshold_;
// 用于控制不确定性的一个参数
FieldTrialParameter<DataRate> uncertainty_symmetry_cap_;
// 估计码率的上限
FieldTrialParameter<DataRate> estimate_floor_;
// 当前累积的窗口大小
int64_t current_window_ms_;
// 计算窗口内码率时,记录前一个ACK的时间
int64_t prev_time_ms_;
// 最终得到的估计码率,先验估计
float bitrate_estimate_kbps_;
// 估计码率的方差,先验估计的方差
float bitrate_estimate_var_;
};
实现解读如下:
void BitrateEstimator::Update(Timestamp at_time, DataSize amount, bool in_alr) {
// 窗口的选择:初始化阶段的窗口更大,避免窗口过小得到的结果不可靠
int rate_window_ms = noninitial_window_ms_.Get();
// We use a larger window at the beginning to get a more stable sample that
// we can use to initialize the estimate.
if (bitrate_estimate_kbps_ < 0.f)
rate_window_ms = initial_window_ms_.Get();
// 输入当前数据,按照窗口阈值计算窗口内的码率
bool is_small_sample = false;
float bitrate_sample_kbps = UpdateWindow(at_time.ms(), amount.bytes(),
rate_window_ms, &is_small_sample);
if (bitrate_sample_kbps < 0.0f)
return;
if (bitrate_estimate_kbps_ < 0.0f) {
// 初始化阶段,最终的码率直接使用一个窗口的结果
// This is the very first sample we get. Use it to initialize the estimate.
bitrate_estimate_kbps_ = bitrate_sample_kbps;
return;
}
// 对于小样本给与更大的不确定性,避免ALR阶段码率降低太多
// 同样,如果检测到ALR,也会给与更大的不确定性
// Optionally use higher uncertainty for very small samples to avoid dropping
// estimate and for samples obtained in ALR.
float scale = uncertainty_scale_;
if (is_small_sample && bitrate_sample_kbps < bitrate_estimate_kbps_) {
scale = small_sample_uncertainty_scale_;
} else if (in_alr && bitrate_sample_kbps < bitrate_estimate_kbps_) {
// Optionally use higher uncertainty for samples obtained during ALR.
scale = uncertainty_scale_in_alr_;
}
// 不确定性的计算:
// * 小样本、ALR引入不确定性
// * 当前窗口与估计样本与估计的码率偏差又引入不确定
// 分母为:估计码率+当前窗口计算码率
// Define the sample uncertainty as a function of how far away it is from the
// current estimate. With low values of uncertainty_symmetry_cap_ we add more
// uncertainty to increases than to decreases. For higher values we approach
// symmetry.
float sample_uncertainty =
scale * std::abs(bitrate_estimate_kbps_ - bitrate_sample_kbps) /
(bitrate_estimate_kbps_ +
std::min(bitrate_sample_kbps,
uncertainty_symmetry_cap_.Get().kbps<float>()));
// 样本方差
float sample_var = sample_uncertainty * sample_uncertainty;
// 码率的贝叶斯估计,使用了共轭先验的公式!
// Update a bayesian estimate of the rate, weighting it lower if the sample
// uncertainty is large.
// The bitrate estimate uncertainty is increased with each update to model
// that the bitrate changes over time.
float pred_bitrate_estimate_var = bitrate_estimate_var_ + 5.f;
bitrate_estimate_kbps_ = (sample_var * bitrate_estimate_kbps_ +
pred_bitrate_estimate_var * bitrate_sample_kbps) /
(sample_var + pred_bitrate_estimate_var);
bitrate_estimate_kbps_ =
std::max(bitrate_estimate_kbps_, estimate_floor_.Get().kbps<float>());
// 码率方差的更新
bitrate_estimate_var_ = sample_var * pred_bitrate_estimate_var /
(sample_var + pred_bitrate_estimate_var);
BWE_TEST_LOGGING_PLOT(1, "acknowledged_bitrate", at_time.ms(),
bitrate_estimate_kbps_ * 1000);
}
// 输入当前样本,根据设置的窗口阈值计算码率
// 为什么不以实际的时间跨度计算,而是用阈值窗口?而且计算时不包含当前数据?
float BitrateEstimator::UpdateWindow(int64_t now_ms,
int bytes,
int rate_window_ms,
bool* is_small_sample) {
RTC_DCHECK(is_small_sample != nullptr);
// 时间环回,重置
// Reset if time moves backwards.
if (now_ms < prev_time_ms_) {
prev_time_ms_ = -1;
sum_ = 0;
current_window_ms_ = 0;
}
// 更新当前窗口自大小: 当前到窗口自开始计算的时间
if (prev_time_ms_ >= 0) {
current_window_ms_ += now_ms - prev_time_ms_;
// 如果一个ACK超过预期的最大窗口大小,数据不可靠,需要重置
// Reset if nothing has been received for more than a full window.
if (now_ms - prev_time_ms_ > rate_window_ms) {
sum_ = 0;
current_window_ms_ %= rate_window_ms;
}
}
prev_time_ms_ = now_ms;
// 当当前计算窗口超过了窗口阈值:
// 根据窗口内的总字节数,判断当前是否是小样本
// 并返回窗口内的码率,使用的窗口是阈值窗口,而不是实际窗口,因此剩余的时间还在当前计算窗口内
float bitrate_sample = -1.0f;
if (current_window_ms_ >= rate_window_ms) {
*is_small_sample = sum_ < small_sample_threshold_->bytes();
bitrate_sample = 8.0f * sum_ / static_cast<float>(rate_window_ms);
current_window_ms_ -= rate_window_ms;
sum_ = 0;
}
sum_ += bytes;
return bitrate_sample;
}
absl::optional<DataRate> BitrateEstimator::bitrate() const {
if (bitrate_estimate_kbps_ < 0.f)
return absl::nullopt;
return DataRate::KilobitsPerSec(bitrate_estimate_kbps_);
}
absl::optional<DataRate> BitrateEstimator::PeekRate() const {
if (current_window_ms_ > 0)
return DataSize::Bytes(sum_) / TimeDelta::Millis(current_window_ms_);
return absl::nullopt;
}
// 如果需要码率变化更快,只需要增大码率估计的方差
void BitrateEstimator::ExpectFastRateChange() {
// By setting the bitrate-estimate variance to a higher value we allow the
// bitrate to change fast for the next few samples.
bitrate_estimate_var_ += 200;
}
3. 总结
注意贝叶斯估计的核心代码:
bitrate_estimate_kbps_ = (sample_var * bitrate_estimate_kbps_ +
pred_bitrate_estimate_var * bitrate_sample_kbps) /
(sample_var + pred_bitrate_estimate_var);
其实就是公式:
高斯分布下的共轭先验公式
先验是之前的估计结果,符合高斯分布,其方差为pred_bitrate_estimate_var,后验是当前估计, 其方差为sample_var。
样本的方差实际上是用不确定性来衡量的!
看到这里,想必大家对码率估计有比较清楚的了解了,剩下的就是多读读代码了。
原文出处:WebRTC GCC代码深度解读(2)TCC ACK码率估计
在基于TCC的拥塞控制中,如何准确估计ACK的码率是一个比较重要的问题。目前在WebRTC提供了两个实现,一个是基于贝叶斯估计,另外一个是更鲁棒的估计方法。下面将介绍这两种方法。
这两个都实现了AcknowledgedBitrateEstimatorInterface接口:
class AcknowledgedBitrateEstimatorInterface {
public:
static std::unique_ptr<AcknowledgedBitrateEstimatorInterface> Create(
const WebRtcKeyValueConfig* key_value_config);
virtual ~AcknowledgedBitrateEstimatorInterface();
virtual void IncomingPacketFeedbackVector(
const std::vector<PacketResult>& packet_feedback_vector) = 0;
virtual absl::optional<DataRate> bitrate() const = 0;
virtual absl::optional<DataRate> PeekRate() const = 0;
virtual void SetAlr(bool in_alr) = 0;
virtual void SetAlrEndedTime(Timestamp alr_ended_time) = 0;
};
通过配置选择两种估计方式:
std::unique_ptr<AcknowledgedBitrateEstimatorInterface>
AcknowledgedBitrateEstimatorInterface::Create(
const WebRtcKeyValueConfig* key_value_config) {
RobustThroughputEstimatorSettings simplified_estimator_settings(
key_value_config);
if (simplified_estimator_settings.enabled) {
return std::make_unique<RobustThroughputEstimator>(
simplified_estimator_settings);
}
return std::make_unique<AcknowledgedBitrateEstimator>(key_value_config);
}
1. 基于贝叶斯估计的ACK码率估计(AcknowledgedBitrateEstimator)
AcknowledgedBitrateEstimator是基于贝叶斯估计的结果,使用了BitrateEstimator基础类来估计。这个基于类可以看之前写的一篇文章,这里不再赘述:
这个类做了下简单封装,只是在ALR(Application Limit Region)结束后加快收敛(数据不可信):
void AcknowledgedBitrateEstimator::IncomingPacketFeedbackVector(
const std::vector<PacketResult>& packet_feedback_vector) {
RTC_DCHECK(std::is_sorted(packet_feedback_vector.begin(),
packet_feedback_vector.end(),
PacketResult::ReceiveTimeOrder()));
for (const auto& packet : packet_feedback_vector) {
/// ALR结束,通过直接修改方差,快速收敛
if (alr_ended_time_ && packet.sent_packet.send_time > *alr_ended_time_) {
bitrate_estimator_->ExpectFastRateChange();
alr_ended_time_.reset();
}
DataSize acknowledged_estimate = packet.sent_packet.size;
acknowledged_estimate += packet.sent_packet.prior_unacked_data;
bitrate_estimator_->Update(packet.receive_time, acknowledged_estimate,
in_alr_);
}
}
2. 更鲁棒的ACK码率估计(RobustThroughputEstimator)
这个估计保存了更多的样本,然后基于接收字节数,和窗口时长做更准确的估计。这个估计方法原理上更简单,估计的结果也更加稳定一些。
这里需要关注的细节在于,需要剔除一个包做估计,为什么呢?
举个例子,加入每隔Tms发送一个S字节的报文,收到N个报文后,总字节数NxS_,_然而间隔只(N-1)xT,因此需要剔除掉一个数据。剔除有两个方案:
- 对于发送来说,最后一个报文不会提供什么信息,因此我们剔除最后一个;对于接受来说,第一个报文没有提供什么信息,我们剔除第一个。
- 对第一个和最后一个做一个平均作为剔除的字节数。
另外,可能会存在一两个较大的突发延迟,导致总的延迟比较大,我们可以简单地做处理。这里也有两个方案:
- 替换最大的接收间隔为第二大的接收间隔
- 替换最大的接收间隔为平均的接收间隔

/// 输入TCC Feedback消息,保存到queue中
void RobustThroughputEstimator::IncomingPacketFeedbackVector(
const std::vector<PacketResult>& packet_feedback_vector) {
RTC_DCHECK(std::is_sorted(packet_feedback_vector.begin(),
packet_feedback_vector.end(),
PacketResult::ReceiveTimeOrder()));
for (const auto& packet : packet_feedback_vector) {
// Insert the new packet.
// 使用queue保存TCC ACK
window_.push_back(packet);
window_.back().sent_packet.prior_unacked_data =
window_.back().sent_packet.prior_unacked_data *
settings_.unacked_weight;
// In most cases, receive timestamps should already be in order, but in the
// rare case where feedback packets have been reordered, we do some swaps to
// ensure that the window is sorted.
// 排序,并没有做完全的排序!
for (size_t i = window_.size() - 1;
i > 0 && window_[i].receive_time < window_[i - 1].receive_time; i--) {
std::swap(window_[i], window_[i - 1]);
}
// Remove old packets.
// 最多保存500个报文,或者超过20个报文但是窗口超过500ms
while (window_.size() > settings_.kMaxPackets ||
(window_.size() > settings_.min_packets &&
packet.receive_time - window_.front().receive_time >
settings_.window_duration)) {
window_.pop_front();
}
}
}
absl::optional<DataRate> RobustThroughputEstimator::bitrate() const {
// 报文太少,低于20不计算
if (window_.size() < settings_.initial_packets)
return absl::nullopt;
// 计算最大和第二的接收时间gap
TimeDelta largest_recv_gap(TimeDelta::Millis(0));
TimeDelta second_largest_recv_gap(TimeDelta::Millis(0));
for (size_t i = 1; i < window_.size(); i++) {
// Find receive time gaps
TimeDelta gap = window_[i].receive_time - window_[i - 1].receive_time;
if (gap > largest_recv_gap) {
second_largest_recv_gap = largest_recv_gap;
largest_recv_gap = gap;
} else if (gap > second_largest_recv_gap) {
second_largest_recv_gap = gap;
}
}
// 得到窗口内,最大发送时间、最小发送时间,最大接收时间、最小接收时间,总发送字节数
Timestamp min_send_time = window_[0].sent_packet.send_time;
Timestamp max_send_time = window_[0].sent_packet.send_time;
Timestamp min_recv_time = window_[0].receive_time;
Timestamp max_recv_time = window_[0].receive_time;
DataSize data_size = DataSize::Bytes(0);
for (const auto& packet : window_) {
min_send_time = std::min(min_send_time, packet.sent_packet.send_time);
max_send_time = std::max(max_send_time, packet.sent_packet.send_time);
min_recv_time = std::min(min_recv_time, packet.receive_time);
max_recv_time = std::max(max_recv_time, packet.receive_time);
data_size += packet.sent_packet.size;
data_size += packet.sent_packet.prior_unacked_data;
}
// 接收字节数 = 发送字节数 - unack字节数
// 如果每T时间发送大小为S的报文,有N*S字节,但是时间只有(N-1)*T,因此要剔除一个包!
// 需要去掉一个包的计算!!!否则计算不准确。assume_shared_link控制了如何剔除
// 为true则剔除首尾的平均,为fasle则发送剔除尾部,接收剔除首部
// Suppose a packet of size S is sent every T milliseconds.
// A window of N packets would contain N*S bytes, but the time difference
// between the first and the last packet would only be (N-1)*T. Thus, we
// need to remove one packet.
DataSize recv_size = data_size;
DataSize send_size = data_size;
if (settings_.assume_shared_link) {
// Depending on how the bottleneck queue is implemented, a large packet
// may delay sending of sebsequent packets, so the delay between packets
// i and i+1 depends on the size of both packets. In this case we minimize
// the maximum error by removing half of both the first and last packet
// size.
DataSize first_last_average_size =
(window_.front().sent_packet.size +
window_.front().sent_packet.prior_unacked_data +
window_.back().sent_packet.size +
window_.back().sent_packet.prior_unacked_data) /
2;
recv_size -= first_last_average_size;
send_size -= first_last_average_size;
} else {
// In the simpler case where the delay between packets i and i+1 only
// depends on the size of packet i+1, the first packet doesn't give us
// any information. Analogously, we assume that the start send time
// for the last packet doesn't depend on the size of the packet.
recv_size -= (window_.front().sent_packet.size +
window_.front().sent_packet.prior_unacked_data);
send_size -= (window_.back().sent_packet.size +
window_.back().sent_packet.prior_unacked_data);
}
// 码率=发送码率和接收码率的最小值(ack码率不可能超过send的码率)
// reduce_bias:突发的delay会影响结果,因此这个开关控制如何消除这个影响
// reduce_bias为true,则替换largest_recv_gap为second_largest_recv_gap
// reduce_bias为false,则替换为平均值
// Remove the largest gap by replacing it by the second largest gap
// or the average gap.
TimeDelta send_duration = max_send_time - min_send_time;
TimeDelta recv_duration = (max_recv_time - min_recv_time) - largest_recv_gap;
if (settings_.reduce_bias) {
recv_duration += second_largest_recv_gap;
} else {
recv_duration += recv_duration / (window_.size() - 2);
}
// 这里计算发送码率是为了限制ACK码率不超过发送码率
send_duration = std::max(send_duration, TimeDelta::Millis(1));
recv_duration = std::max(recv_duration, TimeDelta::Millis(1));
return std::min(send_size / send_duration, recv_size / recv_duration);
}
3. 总结
GCC里面的码率估计使用到上面两种方法,一些细节还是值得注意的。一般来说,第二种方法估计的结果更加鲁棒,WebRTC最近引入也是希望用来替换贝叶斯估计,希望能够得到更好的估计结果。
原文出处:WebRTC GCC代码深度解读(3)AlrDetector
1. 介绍
在介绍ALR检测之前,我们先了解下ALR到底是什么。ALR,即Application Limit Region,即应用本身存在一些受限(非网络带宽导致),会导致发送码率相较于平常有较大降低。突然存在一个较低的发送码率会导致我们的估计带宽存在一些偏差,因此我们需要对这样的一个场景去做检测和区别。一般来说导致ALR的原因如:系统负载比较高,采集/编码帧率降低等等。
ALR的检测也比较简单,根据一段时间内发送的平均码率来判断,当前的码率是否偏离了正常的码率。这个检测使用到了pacing中的IntervalBudget来检测,这是一个漏桶算法,每次发送数据消耗budget,随着时间流逝增加budget,最后通过查看budget剩余比例来判断发送数据量是否足够。关于IntervalBudget原理可以看笔者之前写的一篇文章。
下面我们从代码角度来讲解ALR的检测。
2. 接口
class AlrDetector {
public:
/// ...
// 发送的字节数和发送时间
void OnBytesSent(size_t bytes_sent, int64_t send_time_ms);
// Set current estimated bandwidth.
// 当前的估计带宽,用于和统计的发送码率比较,判断是否处于ALR状态
void SetEstimatedBitrate(int bitrate_bps);
// Returns time in milliseconds when the current application-limited region
// started or empty result if the sender is currently not application-limited.
// 返回进入ALR的时间
absl::optional<int64_t> GetApplicationLimitedRegionStartTime() const;
private:
// 配置
const AlrDetectorConfig conf_;
// 上次发送数据的时间
absl::optional<int64_t> last_send_time_ms_;
// 同pacing中的intervalbudget,漏桶算法
IntervalBudget alr_budget_;
// ALR开始时间
absl::optional<int64_t> alr_started_time_ms_;
RtcEventLog* event_log_;
};
3. 实现
void AlrDetector::OnBytesSent(size_t bytes_sent, int64_t send_time_ms) {
// 第一次直接返回,记录上次发送时间
if (!last_send_time_ms_.has_value()) {
last_send_time_ms_ = send_time_ms;
// Since the duration for sending the bytes is unknwon, return without
// updating alr state.
return;
}
// 两次发送的时间间隔,用于累计时间窗口
int64_t delta_time_ms = send_time_ms - *last_send_time_ms_;
last_send_time_ms_ = send_time_ms;
// 采用IntervalBudget方式,发送数据消耗budget,时间流逝增加budget
alr_budget_.UseBudget(bytes_sent);
alr_budget_.IncreaseBudget(delta_time_ms);
bool state_changed = false;
// 如果当前的发送码率偏低,那么budget剩余比例会比较大,超过阈值则认为进入ALR状态
if (alr_budget_.budget_ratio() > conf_.start_budget_level_ratio &&
!alr_started_time_ms_) {
alr_started_time_ms_.emplace(rtc::TimeMillis());
state_changed = true;
}
// 如果budget剩余比例非常低,那么则退出ALR状态。
else if (alr_budget_.budget_ratio() < conf_.stop_budget_level_ratio &&
alr_started_time_ms_) {
state_changed = true;
alr_started_time_ms_.reset();
}
// 记录事件日志
if (event_log_ && state_changed) {
event_log_->Log(
std::make_unique<RtcEventAlrState>(alr_started_time_ms_.has_value()));
}
}
void AlrDetector::SetEstimatedBitrate(int bitrate_bps) {
RTC_DCHECK(bitrate_bps);
// 设置估计带宽到IntervalBudget中,用于检测发送数据量是否足够。
// 这里使用了0.65倍的带宽作为发送码率
int target_rate_kbps =
static_cast<double>(bitrate_bps) * conf_.bandwidth_usage_ratio / 1000;
alr_budget_.set_target_rate_kbps(target_rate_kbps);
}
absl::optional<int64_t> AlrDetector::GetApplicationLimitedRegionStartTime()
const {
return alr_started_time_ms_;
}
关于上面检测LAR的几个阈值,默认值可以参考:
struct AlrDetectorConfig {
double bandwidth_usage_ratio = 0.65;
double start_budget_level_ratio = 0.80;
double stop_budget_level_ratio = 0.50;
原文出处:WebRTC GCC代码深度解读(4)基于Loss的带宽估计
1. 简介
GCC里面的默认的基于loss的带宽估计是在SendSideBandwidthEstimation这个类里面。由于历史原因,基于丢包的估计在发送端,基于单向延迟的估计在接收端(REMB),因此最开始的代码里面基于丢包的放在SendSideBandwidthEstimation里面了,REMB基于单向延迟的放在remote里面(recvside)。
然而引入TCC之后,单向延迟的也在发送端(sendside),这个时候只能将基于延迟的放到delaybased bwe相关类里面了(总不能叫recvside吧)。
实际上WebRTC有3个实现,一个是SendSideBandwidthEstimation。一个是LossBasedBandwidthEstimation, 我们记为v1版本吧;一个是LossBasedBweV2,这个我们记为v2版本。V1和V2版本还处于实验阶段。
这一篇,我们先介绍下最初的实现SendSideBandwidthEstimation。后面两个版本目前还是在实验阶段,后面会介绍下。
2. 原理介绍
核心的原理:
2%丢包以下,以1s内最小带宽的1.08倍增加估计带宽;
2%~10%丢包,保持估计带宽不变;
10%以上丢包,newRate = rate (1 - 0.5lossRate)。
关于细节,可以看下下面的代码解读。
2.1 1s内最小码率统计
历史最小估计码率的维护,这里是获取最近1s内的最低估计码率。下面的函数在每次loss更新的时候调用。作用:在丢包较小需要增加估计带宽的时候,需要按照最近1s最小值的1.08倍去增加。按照最小值去增加,看起来是一个比较保险的做法。
最小码率更新如下:
void SendSideBandwidthEstimation::UpdateMinHistory(Timestamp at_time) {
// Remove old data points from history.
// Since history precision is in ms, add one so it is able to increase
// bitrate if it is off by as little as 0.5ms.
while (!min_bitrate_history_.empty() &&
at_time - min_bitrate_history_.front().first + TimeDelta::Millis(1) >
kBweIncreaseInterval) {
min_bitrate_history_.pop_front();
}
// Typical minimum sliding-window algorithm: Pop values higher than current
// bitrate before pushing it.
while (!min_bitrate_history_.empty() &&
current_target_ <= min_bitrate_history_.back().second) {
min_bitrate_history_.pop_back();
}
min_bitrate_history_.push_back(std::make_pair(at_time, current_target_));
}
2.2 RTT退避功能
在RTT比较高的时候,即使丢包比较小也会进行退避。可选开启功能。基于延迟的估计不是可以去解决的吗,因此这个开关一般都不会开启。
这里的RTT做了一些平滑处理,这里不多介绍了。
void SendSideBandwidthEstimation::UpdateEstimate(Timestamp at_time) {
// RTT过大,需要做退避,可配置开启,默认阈值3s
if (rtt_backoff_.CorrectedRtt(at_time) > rtt_backoff_.rtt_limit_) {
// 退避的间隔默认为1s一次
// 退避到的码率下限为5kbps
if (at_time - time_last_decrease_ >= rtt_backoff_.drop_interval_ &&
current_target_ > rtt_backoff_.bandwidth_floor_) {
time_last_decrease_ = at_time;
// 每次按照0.8倍退避,退避的下限为5kbps
DataRate new_bitrate =
std::max(current_target_ * rtt_backoff_.drop_fraction_,
rtt_backoff_.bandwidth_floor_.Get());
link_capacity_.OnRttBackoff(new_bitrate, at_time);
UpdateTargetBitrate(new_bitrate, at_time);
return;
}
// TODO(srte): This is likely redundant in most cases.
ApplyTargetLimits(at_time);
return;
}
...
}
关于RttBasedBackoff这个类不多介绍,这里只介绍下RTT修正的处理。这里用TCC计算的RTT间隔和发包间隔比较,如果发包间隔比较大,则RTT会减小,避免发包少的时候TCC计算的RTT不准的问题。为什么需要做这样的修正?
因为TCC feedback需要累计一定报文或者等超时才会发送,这个延迟会导致TCC计算的RTT不准。因此,可以基于发包间隔来校正。关于这个问题,后面可以开一个专题来讨论下。不得不说,WebRTC对这些细节处理还是很到位的。
TimeDelta RttBasedBackoff::CorrectedRtt(Timestamp at_time) const {
TimeDelta time_since_rtt = at_time - last_propagation_rtt_update_;
TimeDelta timeout_correction = time_since_rtt;
// Avoid timeout when no packets are being sent.
TimeDelta time_since_packet_sent = at_time - last_packet_sent_;
timeout_correction =
std::max(time_since_rtt - time_since_packet_sent, TimeDelta::Zero());
return timeout_correction + last_propagation_rtt_;
}
2.3 丢包更新
丢包的更新这里没有太多可以介绍的:
// 输入丢包个数和收到的包个数,触发基于丢包的带宽估计
void SendSideBandwidthEstimation::UpdatePacketsLost(int64_t packets_lost,
int64_t number_of_packets,
Timestamp at_time) {
// ...
// 为了确保丢包计算的准确性,需要累计一定的样本
// 需要累计一定的包(20个)才计算丢包率,否则样本量不足直接返回,到下次样本足够才统计
// 计算完成丢包后触发估计
UpdateEstimate(at_time);
// ...
}
2.4 估计的核心逻辑
void SendSideBandwidthEstimation::UpdateEstimate(Timestamp at_time) {
// RTT退避,上面已经讲过,这里忽略
// ...
// We trust the REMB and/or delay-based estimate during the first 2 seconds if
// we haven't had any packet loss reported, to allow startup bitrate probing.
// 在最开始的阶段(前面2s)还没有丢包上报,我们相信REMB以及delay based bwe结果
if (last_fraction_loss_ == 0 && IsInStartPhase(at_time)) {
DataRate new_bitrate = current_target_;
// TODO(srte): We should not allow the new_bitrate to be larger than the
// receiver limit here.
// 如果设置了接收端码率限制,那么码率不能低于这个码率
if (receiver_limit_.IsFinite())
new_bitrate = std::max(receiver_limit_, new_bitrate);
// 如果有delay based bwe限制,那么码率不低于这个限制
if (delay_based_limit_.IsFinite())
new_bitrate = std::max(delay_based_limit_, new_bitrate);
// 初始化V1和V2的初始码率(如果有使用功能),暂时不用关注
if (LossBasedBandwidthEstimatorV1Enabled()) {
loss_based_bandwidth_estimator_v1_.Initialize(new_bitrate);
}
if (LossBasedBandwidthEstimatorV2Enabled()) {
loss_based_bandwidth_estimator_v2_.SetBandwidthEstimate(new_bitrate);
}
// 更新最低码率历史
if (new_bitrate != current_target_) {
min_bitrate_history_.clear();
if (LossBasedBandwidthEstimatorV1Enabled()) {
min_bitrate_history_.push_back(std::make_pair(at_time, new_bitrate));
} else {
min_bitrate_history_.push_back(
std::make_pair(at_time, current_target_));
}
UpdateTargetBitrate(new_bitrate, at_time);
return;
}
}
// 只保存1s的最小码率历史,并做简单的数据清除
UpdateMinHistory(at_time);
// 未上报丢包,则直接返回
if (last_loss_packet_report_.IsInfinite()) {
// No feedback received.
// TODO(srte): This is likely redundant in most cases.
ApplyTargetLimits(at_time);
return;
}
// V1版本
if (LossBasedBandwidthEstimatorV1ReadyForUse()) {
DataRate new_bitrate = loss_based_bandwidth_estimator_v1_.Update(
at_time, min_bitrate_history_.front().second, delay_based_limit_,
last_round_trip_time_);
UpdateTargetBitrate(new_bitrate, at_time);
return;
}
// V2版本
if (LossBasedBandwidthEstimatorV2ReadyForUse()) {
DataRate new_bitrate =
loss_based_bandwidth_estimator_v2_.GetBandwidthEstimate();
new_bitrate = std::min(new_bitrate, delay_based_limit_);
UpdateTargetBitrate(new_bitrate, at_time);
return;
}
TimeDelta time_since_loss_packet_report = at_time - last_loss_packet_report_;
// 距离上次更新不超过6s才认为是有效,否则不处理
if (time_since_loss_packet_report < 1.2 * kMaxRtcpFeedbackInterval) {
// We only care about loss above a given bitrate threshold.
float loss = last_fraction_loss_ / 256.0f;
// We only make decisions based on loss when the bitrate is above a
// threshold. This is a crude way of handling loss which is uncorrelated
// to congestion.
// 码率低(<0,这个逻辑应该不会生效),或者丢包非常低(2%)
if (current_target_ < bitrate_threshold_ || loss <= low_loss_threshold_) {
// Loss < 2%: Increase rate by 8% of the min bitrate in the last
// kBweIncreaseInterval.
// Note that by remembering the bitrate over the last second one can
// rampup up one second faster than if only allowed to start ramping
// at 8% per second rate now. E.g.:
// If sending a constant 100kbps it can rampup immediately to 108kbps
// whenever a receiver report is received with lower packet loss.
// If instead one would do: current_bitrate_ *= 1.08^(delta time),
// it would take over one second since the lower packet loss to achieve
// 108kbps.
// 丢包小于2%,码率按照最小码率的1.08倍增加。
DataRate new_bitrate = DataRate::BitsPerSec(
min_bitrate_history_.front().second.bps() * 1.08 + 0.5);
// Add 1 kbps extra, just to make sure that we do not get stuck
// (gives a little extra increase at low rates, negligible at higher
// rates).
// 额外增加1kbps,确保码率低的时候不会增加太慢
new_bitrate += DataRate::BitsPerSec(1000);
// 更新估计码率,可能会被一些条件限制
UpdateTargetBitrate(new_bitrate, at_time);
return;
} else if (current_target_ > bitrate_threshold_) {
if (loss <= high_loss_threshold_) {
// 2%~10%丢包,不需要做任何处理
// Loss between 2% - 10%: Do nothing.
} else {
// 丢包超过10%需要降低带宽,降低间隔需要超过300ms+RTT
// Loss > 10%: Limit the rate decreases to once a kBweDecreaseInterval
// + rtt.
if (!has_decreased_since_last_fraction_loss_ &&
(at_time - time_last_decrease_) >=
(kBweDecreaseInterval + last_round_trip_time_)) {
time_last_decrease_ = at_time;
// Reduce rate:
// 码率降低的方式:(10%的丢包每次降低5%)
// newRate = rate * (1 - 0.5*lossRate);
// where packetLoss = 256*lossRate;
DataRate new_bitrate = DataRate::BitsPerSec(
(current_target_.bps() *
static_cast<double>(512 - last_fraction_loss_)) /
512.0);
has_decreased_since_last_fraction_loss_ = true;
UpdateTargetBitrate(new_bitrate, at_time);
return;
}
}
}
}
// TODO(srte): This is likely redundant in most cases.
// UpdateTargetBitrate,做clamp
ApplyTargetLimits(at_time);
}
UpdateTargetBitrate的实现:
void SendSideBandwidthEstimation::UpdateTargetBitrate(DataRate new_bitrate,
Timestamp at_time) {
new_bitrate = std::min(new_bitrate, GetUpperLimit());
if (new_bitrate < min_bitrate_configured_) {
MaybeLogLowBitrateWarning(new_bitrate, at_time);
new_bitrate = min_bitrate_configured_;
}
current_target_ = new_bitrate;
MaybeLogLossBasedEvent(at_time);
link_capacity_.OnRateUpdate(acknowledged_rate_, current_target_, at_time);
}
2.5 链路能力估计
链路能力是一个更稳定的码率估计,在GoogCcNetworkController也被称作是stable_target_rate。在这里并没有直接去使用它,而且在controller中被使用。因为LinkCapacityTracker也主要在这里更新,因此这里也介绍一下。
LinkCapacityTracker综合了delay based bwe结果以及ACK码率结果,相对来说更可靠,更能反映链路的能力。相比来说更加稳定,但是值也相对较小。它主要使用了ACK的结果,同时使用delay based bwe结果来限制。
输入ACK码率:
// ACK码率更新
void LinkCapacityTracker::OnRateUpdate(absl::optional<DataRate> acknowledged,
DataRate target,
Timestamp at_time) {
if (!acknowledged)
return;
DataRate acknowledged_target = std::min(*acknowledged, target);
// ACK码率比估计的结果要大,则更新估计的码率,要根据当前ACK和上次ACK时间来决定更新系数
if (acknowledged_target.bps() > capacity_estimate_bps_) {
TimeDelta delta = at_time - last_link_capacity_update_;
// 更新间隔越大,aplha越小,当前ACK占比越高
double alpha = delta.IsFinite() ? exp(-(delta / tracking_rate.Get())) : 0;
capacity_estimate_bps_ = alpha * capacity_estimate_bps_ +
(1 - alpha) * acknowledged_target.bps<double>();
}
last_link_capacity_update_ = at_time;
}
延迟估计结果用来限制:
// 输入基于延迟的估计结果
void LinkCapacityTracker::UpdateDelayBasedEstimate(
Timestamp at_time,
DataRate delay_based_bitrate) {
// 比上次的delay based低的时候才更新估计结果,取小
if (delay_based_bitrate < last_delay_based_estimate_) {
capacity_estimate_bps_ =
std::min(capacity_estimate_bps_, delay_based_bitrate.bps<double>());
last_link_capacity_update_ = at_time;
}
last_delay_based_estimate_ = delay_based_bitrate;
}
在RTT高的时候,直接退避到一个值,需要开启RTT退避功能:
void LinkCapacityTracker::OnRttBackoff(DataRate backoff_rate,
Timestamp at_time) {
// RTT增加后,需要做退避,直接退避到backoff_rate
capacity_estimate_bps_ =
std::min(capacity_estimate_bps_, backoff_rate.bps<double>());
last_link_capacity_update_ = at_time;
}
3. 总结
上面就是WebRTC GCC中基于丢包的带宽估计方法。