C++中的HashTable
原文出处:C++中的HashTable
HashTable是开发中常用的数据结构。本文从C++ STL中的HashTable讲起,分析其存在的性能问题,以业界改进的实现为对比。通过基准测试对比其实际性能表现,总结更优的实现版本。
STL HashTable的问题
STL中的HashTable实现为std::unordered_map,采用链接法(chaining)解决hash碰撞,hash值相同的多个pair组织为链表,如图1所示。

图1 std::unordered_map内存布局
查找key值时,需要遍历对应的链表,寻找值相同的key。链表中节点内存分布不连续,相邻节点处于同一cache line的概率很小,因此会产生较多的cpu cache miss,降低查询效率。
改进版HashTable
google absl::flat_hash_map采用开放寻址法(open addressing)解决hash碰撞,并使用二次探测(quadratic probing)方式。absl::flat_hash_map改进了内存布局,将所有pair放在一段连续内存中,将hash值相同的多个pair放在相邻位置,如图2所示。

图2 absl::flat_hash_map内存布局
查找key时,以二次探测方式遍历hash值相等的pair,寻找值相等的key。hash值相同的pair存储在相邻内存位置处,内存局部性好,对cpu cache友好,可提高查询效率。
在内存用量方面,absl::flat_hash_map空间复杂度为 O((sizeof(std::pair<const K, V>) + 1) * bucket_count())。最大负载因子被设计为0.875,超过该值后,表大小会增加一倍。因此absl::flat_hash_map的size()通常介于 0.4375 * bucket_count() 和 0.875 * bucket_count() 之间。
需要注意,absl::flat_hash_map在rehash时,会对pair进行move,因此pair的指针会失效,类似下述用法会访问非法内存地址。
absl::flat_hash_map<std::string, Foo> map;
// ... init map
Foo& foo1 = map["f1"];
Foo* foo2 = &(map["f2"]);
// ... rehash map
foo1.DoSomething(); // 非法访问,foo1引用的对象已被move
foo2->DoSomething(); // 非法访问,foo2指向的对象已被move
为了解决上述pair指针失效问题,google absl::node_hash_map将pair存储在单独分配的节点中,在连续内存中存放指向这些节点的指针,其他设计与flat_hash_map相同,如图3所示。

图3 absl::node_hash_map内存布局
absl::node_hash_map在rehash时,pair本身无需移动,只需将指针拷贝至新的地址。可保证pair的指针稳定性。
源码探究
下面对absl两种HashTable的核心逻辑源码进行探索(省略不相关部分的代码):
1.分配内存
// flat_hash_map和node_hash_map均以raw_hash_set为父类实现,区别在于policy不同
template <class K, class V,
class Hash = absl::container_internal::hash_default_hash<K>,
class Eq = absl::container_internal::hash_default_eq<K>,
class Allocator = std::allocator<std::pair<const K, V>>>
class flat_hash_map : public absl::container_internal::raw_hash_map<
absl::container_internal::FlatHashMapPolicy<K, V>,
Hash, Eq, Allocator> {};
template <class Key, class Value,
class Hash = absl::container_internal::hash_default_hash<Key>,
class Eq = absl::container_internal::hash_default_eq<Key>,
class Alloc = std::allocator<std::pair<const Key, Value>>>
class node_hash_map
: public absl::container_internal::raw_hash_map<
absl::container_internal::NodeHashMapPolicy<Key, Value>, Hash, Eq,
Alloc> {};
template <class Policy, class Hash, class Eq, class Alloc>
class raw_hash_map : public raw_hash_set<Policy, Hash, Eq, Alloc>{};
// raw_hash_set分配连续内存的大小取决于 capacity_ 和 slot_type
template <class Policy, class Hash, class Eq, class Alloc>
class raw_hash_set {
using slot_type = typename Policy::slot_type;
void initialize_slots() {
// 分配连续内存的大小为 capacity_ * slot_size 并对齐 slot_align
char* mem = static_cast<char*>(Allocate<alignof(slot_type)>(
&alloc_ref(),
AllocSize(capacity_, sizeof(slot_type), alignof(slot_type))));
ctrl_ = reinterpret_cast<ctrl_t*>(mem);
slots_ = reinterpret_cast<slot_type*>(
mem + SlotOffset(capacity_, alignof(slot_type)));
ResetCtrl(capacity_, ctrl_, slots_, sizeof(slot_type));
reset_growth_left();
infoz().RecordStorageChanged(size_, capacity_);
}
inline size_t AllocSize(size_t capacity, size_t slot_size, size_t slot_align) {
return SlotOffset(capacity, slot_align) + capacity * slot_size;
}
};
// flat_hash_map的slot包含pair
template <class K, class V>
struct FlatHashMapPolicy {
using slot_type = typename map_slot_type<K, V>;
};
template <class K, class V>
union map_slot_type {
using value_type = std::pair<const K, V>;
using mutable_value_type =
std::pair<absl::remove_const_t<K>, absl::remove_const_t<V>>;
value_type value;
mutable_value_type mutable_value;
absl::remove_const_t<K> key;
};
// node_hash_map的slot为指向pair的指针
template <class Key, class Value>
class NodeHashMapPolicy
: public absl::container_internal::node_slot_policy<
std::pair<const Key, Value>&, NodeHashMapPolicy<Key, Value>>{};
template <class Reference, class Policy>
struct node_slot_policy {
using slot_type = typename std::remove_cv<
typename std::remove_reference<Reference>::type>::type*; // slot为指向pair的指针
};
2.添加元素
template <class Policy, class Hash, class Eq, class Alloc>
class raw_hash_set {
// 查找
// Attempts to find `key` in the table; if it isn't found, returns a slot that
// the value can be inserted into, with the control byte already set to
// `key`'s H2.
template <class K>
std::pair<size_t, bool> find_or_prepare_insert(const K& key) {
prefetch_heap_block();
auto hash = hash_ref()(key);
// 在相同hash值的桶中查找
auto seq = probe(ctrl_, hash, capacity_);
while (true) {
Group g{ctrl_ + seq.offset()};
for (uint32_t i : g.Match(H2(hash))) {
// 如果key相等,则找到了目标元素
if (ABSL_PREDICT_TRUE(PolicyTraits::apply(
EqualElement<K>{key, eq_ref()},
PolicyTraits::element(slots_ + seq.offset(i)))))
return {seq.offset(i), false};
}
if (ABSL_PREDICT_TRUE(g.MaskEmpty())) break;
seq.next();
assert(seq.index() <= capacity_ && "full table!");
}
// 如果没有相等的key,则插入元素
return {prepare_insert(hash), true};
}
// 找到下一个可用的slot
// Given the hash of a value not currently in the table, finds the next
// viable slot index to insert it at.
size_t prepare_insert(size_t hash) ABSL_ATTRIBUTE_NOINLINE {
auto target = find_first_non_full(ctrl_, hash, capacity_);
if (ABSL_PREDICT_FALSE(growth_left() == 0 &&
!IsDeleted(ctrl_[target.offset]))) {
rehash_and_grow_if_necessary();
target = find_first_non_full(ctrl_, hash, capacity_);
}
++size_;
growth_left() -= IsEmpty(ctrl_[target.offset]);
SetCtrl(target.offset, H2(hash), capacity_, ctrl_, slots_,
sizeof(slot_type));
infoz().RecordInsert(hash, target.probe_length);
return target.offset;
}
// 在找到的slot处构造元素
template <class K = key_type, class F>
iterator lazy_emplace(const key_arg<K>& key, F&& f) {
auto res = find_or_prepare_insert(key);
if (res.second) {
slot_type* slot = slots_ + res.first;
std::forward<F>(f)((&alloc_ref(), &slot));
assert(!slot);
}
return iterator_at(res.first);
}
};
3.rehash
template <class Policy, class Hash, class Eq, class Alloc>
class raw_hash_set {
// Called whenever the table *might* need to conditionally grow.
void rehash_and_grow_if_necessary() {
if (capacity_ == 0) {
resize(1);
} else if (capacity_ > Group::kWidth &&
size() * uint64_t{32} <= capacity_ * uint64_t{25}) {
drop_deletes_without_resize();
} else {
// Otherwise grow the container.
resize(capacity_ * 2 + 1);
}
}
void resize(size_t new_capacity) {
assert(IsValidCapacity(new_capacity));
auto* old_ctrl = ctrl_;
auto* old_slots = slots_;
const size_t old_capacity = capacity_;
capacity_ = new_capacity;
initialize_slots();
size_t total_probe_length = 0;
for (size_t i = 0; i != old_capacity; ++i) {
if (IsFull(old_ctrl[i])) {
size_t hash = PolicyTraits::apply(HashElement{hash_ref()},
PolicyTraits::element(old_slots + i));
auto target = find_first_non_full(ctrl_, hash, capacity_);
size_t new_i = target.offset;
total_probe_length += target.probe_length;
SetCtrl(new_i, H2(hash), capacity_, ctrl_, slots_, sizeof(slot_type));
// 调用 policy transfer 在新地址处构造元素
PolicyTraits::transfer(&alloc_ref(), slots_ + new_i, old_slots + i);
}
}
if (old_capacity) {
SanitizerUnpoisonMemoryRegion(old_slots,
sizeof(slot_type) * old_capacity);
Deallocate<alignof(slot_type)>(
&alloc_ref(), old_ctrl,
AllocSize(old_capacity, sizeof(slot_type), alignof(slot_type)));
}
infoz().RecordRehash(total_probe_length);
}
};
// flat_hash_map在rehash时,将元素移动至新地址处
template <class K, class V>
struct map_slot_policy {
template <class Allocator>
static void transfer(Allocator* alloc, slot_type* new_slot,
slot_type* old_slot) {
emplace(new_slot);
// 将元素 move 至新地址处
if (kMutableKeys::value) {
absl::allocator_traits<Allocator>::construct(
*alloc, &new_slot->mutable_value, std::move(old_slot->mutable_value));
} else {
absl::allocator_traits<Allocator>::construct(*alloc, &new_slot->value,
std::move(old_slot->value));
}
destroy(alloc, old_slot);
}
};
// node_hash_map在rehash时,将指向元素的指针拷贝至新地址处
template <class Reference, class Policy>
struct node_slot_policy {
template <class Alloc>
static void transfer(Alloc*, slot_type* new_slot, slot_type* old_slot) {
// 将“指向元素的地址” copy 至新地址处
*new_slot = *old_slot;
}
};
基准测试
基准测试场景如下:
- k、v均为std::string
- k长度约20字节
- v长度约40字节
- 写操作:向空map中,emplace N个k值不同的pair
- 读操作:从包含N个pair的map中,find N次随机k值(提前生成好的随机序列)
各容器读操作的cache miss情况如下:
# std::unordered_map
[root@VM-239-185-centos tools]# perf stat -e cpu-clock,cycles,instructions,L1-dcache-load-misses,L1-dcache-loads -p 2864179
^C
Performance counter stats for process id '2864179':
18,447.43 msec cpu-clock # 1.000 CPUs utilized
56,278,197,029 cycles # 3.051 GHz
25,374,763,394 instructions # 0.45 insn per cycle
265,164,336 L1-dcache-load-misses # 3.17% of all L1-dcache hits
8,377,925,973 L1-dcache-loads # 454.151 M/sec
18.453787989 seconds time elapsed
# absl::node_hash_map
[root@VM-239-185-centos tools]# perf stat -e cpu-clock,cycles,instructions,L1-dcache-load-misses,L1-dcache-loads -p 2873181
^C
Performance counter stats for process id '2873181':
42,683.27 msec cpu-clock # 1.000 CPUs utilized
130,088,665,294 cycles # 3.048 GHz
134,531,389,793 instructions # 1.03 insn per cycle
334,111,936 L1-dcache-load-misses # 0.74% of all L1-dcache hits
44,998,374,652 L1-dcache-loads # 1054.239 M/sec
42.685607230 seconds time elapsed
# absl::flat_hash_map
[root@VM-239-185-centos tools]# perf stat -e cpu-clock,cycles,instructions,L1-dcache-load-misses,L1-dcache-loads -p 2867048
^C
Performance counter stats for process id '2867048':
27,379.72 msec cpu-clock # 1.000 CPUs utilized
83,562,709,268 cycles # 3.052 GHz
82,589,606,600 instructions # 0.99 insn per cycle
188,364,766 L1-dcache-load-misses # 0.68% of all L1-dcache hits
27,605,138,227 L1-dcache-loads # 1008.233 M/sec
27.388859157 seconds time elapsed
可以看到std::unordered_map L1-dcache miss率为3.17%,absl::node_hash_map为0.74%,absl::flat_hash_map为0.68%,验证了上述关于不同内存模型下cpu cache性能表现的推论。
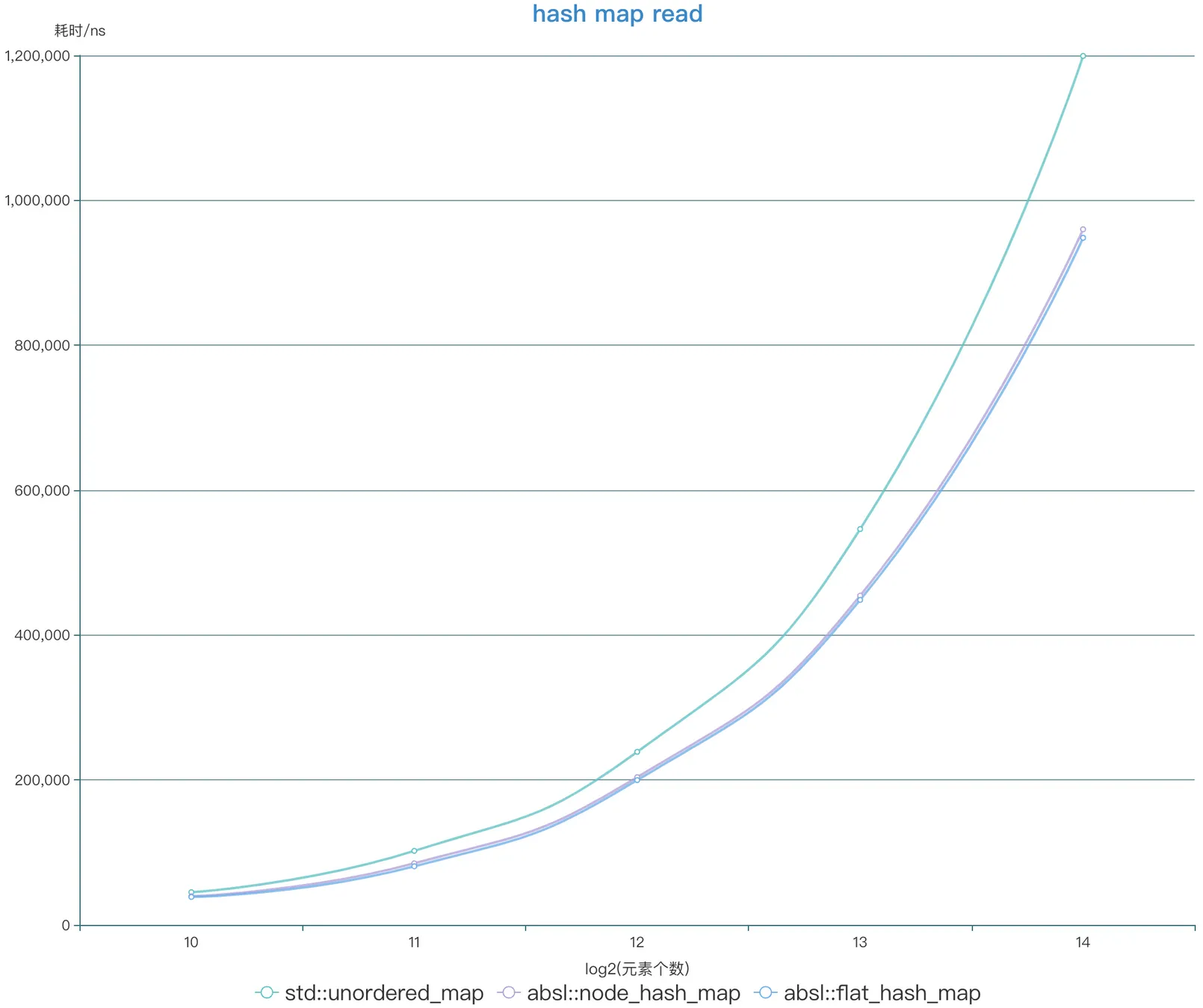
基准测试结果如下(为了显示更清晰,将元素个数小于1024的和大于1024的分开展示):

图4 写操作,元素个数小于等于1024

图5 写操作,元素个数大于等于1024

图6 读操作,元素个数小于等于1024

图7 读操作,元素个数大于等于1024
从测试结果可以看出,写操作耗时:std::unordered_map < absl::flat_hash_map < absl::node_hash_map,absl::flat_hash_map比std::unordered_map耗时平均增加9%;读操作耗时:absl::flat_hash_map <absl::node_hash_map <std::unordered_map,absl::flat_hash_map比std::unordered_map耗时平均降低20%。
总结
三种HashTable对比如下:
|
HashTable类型 |
内存模型 |
性能表现 |
推荐使用场景 |
|
std::unordered_map |
以链表存储hash值相同的元素 |
写操作:rehash友好,性能最好; 读操作:内存不连续,cpu cache命中率较低,性能最差 |
写多读少 |
|
absl::node_hash_map |
在连续内存中存储hash值相同的元素的指针 |
写操作:性能最差; 读操作:性能略差于absl::flat_hash_map; |
读多写少,且需要保证pair的指针稳定性 |
|
absl::flat_hash_map |
在连续内存中存储hash值相同的元素 |
写操作:性能略差于std::unordered_map; 读操作:内存连续,cpu cache命中率较高,性能最好 |
读多写少 |
在读多写少的场景使用HashTable,可以用absl::flat_hash_map替代std::unordered_map,获得更好的查询性能。但需注意absl::flat_hash_map在rehash时会将pair move到新的内存地址,导致访问原始地址非法。
absl::flat_hash_map的接口类似于std::unordered_map,详细介绍可参阅absl官方介绍:https://abseil.io/docs/cpp/guides/container#hash-tables
扩展阅读
absl::flat_hash_map源码:abseil-cpp/flat_hash_map.h at master · abseil/abseil-cpp · GitHubstd::unordered_map源码:gcc/unordered_map.h at master · gcc-mirror/gcc · GitHub- folly 14-way hash table:folly/F14.md at main · facebook/folly · GitHub
- robin_hood hash table:GitHub - martinus/robin-hood-hashing: faster and more memory efficient hashtable based on robin hood hashing for C++11/14/17/20